
The New England Complex Systems Institute (NECSI) : Ethnic Violence | NECSIより
Is it possible to think about peace scientifically?
The enlightenment stuff on the fringes of travel-related posts continues again.
Now all of a sudden, can scientific thinking lead to peace?
In fact, this kind of research seems to be gaining momentum in recent years. About half a year ago, Courier Japon published an article like this.
参考サイト:すべての戦争を終わらせるために「平和を数値化」せよ! 「世界平和度指数」の考案者に直撃 | クーリエ・ジャポン
But what I’m going to introduce here is a paper and a group of people who are writing it that are also attempting to think about peace in a scholarly and more scientific way, although with a somewhat different approach than the one here.
About six months ago, I think, I was surfing Google or Google Scholar for keywords like “big data, sociology, finance, and (statistical) physics” as part of a work-related research project when I found this preprint.
どういう研究なのか、端的に言いますと、スイスの行政区分が[highlight]「うまくいっている」[/highlight]ということを科学的に検証したものです。
As you all know, Switzerland is an economic powerhouse and a politically stable country, but in fact, it is a multilingual nation with four official languages (German, French, Italian, and Romansh) and two religions, Catholicism and Protestantism, that coexist in this small country. It is a multilingual nation. How is it possible for a nation with such a complex background to exist stably? It is because it has geographical boundaries and appropriate administrative divisions.
This paper shows this by using actual data and quantitative modeling.
The importance of geographical divisions in governing Switzerland was also mentioned by Napoleon. This is because Switzerland had once before tried unsuccessfully to set up a centralised state, the Republic of Elvetia.
ところで、こんな研究をしているのは、一体どんな人達なのか。どうやら、アメリカのニューイングランド大学の[highlight]「The New England Complex Systems Institute (NECSI)」[/highlight]という研究グループのようです。
They seem to be a group that mainly studies how to divide a region where different ethnic groups, different religions, and different languages coexist in a complex way, and how to minimize conflicts between ethnic groups, religions, etc. According to their group’s website, the following are the countries and regions that they have been working on specifically or have published papers in the journal or preprint server as a result of their research. Recently, they have also released a paper on the Syrian situation.
- インド・ユーゴスラビア関連:M. Lim, R. Metzler, Y. Bar-Yam, Global Pattern Formation and Ethnic/Cultural Violence, Science 317, 5844 (2007).
- イエメン関連:A. Gros, A.S. Gard-Murray, Y. Bar-Yam Conflict in Yemen: From Ethnic Fighting to Food Riots. arXiv:1207.5778, July 24, 2012.
- スイス関連:A. Rutherford, D. Harmon, J. Werfel, S. Bar-Yam, A.S. Gard-Murray, A. Gros, Y. Bar-Yam, Good Fences: The Importance of Setting Boundaries for Peaceful Coexistence. PLoS ONE 9(5): e95660 doi:10.1371/journal.pone.0095660 (May 21, 2014); arXiv:1110.1409 (October 7, 2011).
- シリア関連:R. Parens, Y. Bar-Yam, Step by step to stability and peace in Syria, NECSI (February 9, 2016).
参考サイト:Ethnic Violence | NEW ENGLAND COMPLEX SYSTEMS INSTITUTE
Physics concept = use of the idea of renormalization groups in real world politics
I’m particularly interested in their group because they propose to establish optimal regional and borough boundaries in a very “physical” way, using quantitative models based on public data.
NECSI researchers have used complex systems science to understand how to accurately predict, and ultimately avoid, ethnic violence. The key to peace is to either completely integrate or completely separate people based on cultural, linguistic, and ethnical differences. The key to peace is to either completely integrate or completely separate people based on cultural, linguistic, and ethnical differences. If these groups are mixed to an intermediate degree, where populations occupy patches between 20 and 60 km in size embedded in areas of disparate groups, violence is both predicted and observed. observed.
Their main method is this.
First of all, we define the amount of “conflict incidence” that occurs between ethnic groups with different religions and languages, and then we model how it depends on the minimum area of administrative divisions (unit area), and then we find the critical point. As a result, they found that, for example, in the specific cases of Switzerland and Yugoslavia, the incidence of conflict increases the most when the size of the area is between 20km and 60km in distance. They call this a critical size in their paper.
If it is sufficiently smaller than this critical size, it can be interpreted that the constituent units are closer to those of an individual or a family, making it more difficult for conflicts to occur, and if it is sufficiently large, it can be interpreted that it is totalized in the first place, offsetting the incidence of conflict.
But here’s the interesting part of their proposal.
[highlight]それは、この臨界サイズが存在するということを逆に利用して、あえてはじめに紛争発生率が顕著になるような「臨界サイズ(特徴的サイズ)」を明らかにし、その分布に基づいて地理的もしくは政治的な境界を設ければ紛争を防ぐことができるのでは、という提案をしている点です。そして、世界各地で民族間の紛争が起こってしまうのは、こうした臨界サイズを意識しない区分にしているからでは、と述べています。[/highlight]
However, I thought it was very interesting to think that it would be more effective to determine the critical size at which such conflicts become more pronounced.
Behind this idea is the concept of the “renormalization group,” which is very important in particle theory and condensed matter theory. This is a very difficult concept to grasp, but to put it simply, it means that the factors that affect a phenomenon change depending on the size or dimensions of the target.
To be honest, I think it’s a bit of an exaggeration to say that their work (the functions they actually use) uses the idea of the renormalization group in theoretical physics, but I’m pretty sure that they still inherit the philosophy and concept of the group. In fact, the following preprint uploaded on ArXiv by Shlomiya Bar-Yam, who is a member (or maybe the leader) of this group, says that they use the idea of the renormalization group.
Y. Bar-Yam From Big Data To Important Information . arXiv:1604.00976, April 4, 2016.
A brief overview of research cases: the case of Switzerland
In order to understand their work more concretely, let’s take a look at their actual work in a little more depth. This is the study on “Switzerland” as an example. This is a republication, but here it is.
The first step is to divide Switzerland into grids of appropriate size, and to use open data to quantify the linguistic and religious characteristics of each grid.
The differences in the values of the characteristics between the different grids are then evaluated using an appropriate function that takes the grid size, the characteristic values defined above, and the distance between the grids as arguments to calculate the likelihood of conflicts occurring between the different cultural characteristics = the conflict incidence rate.
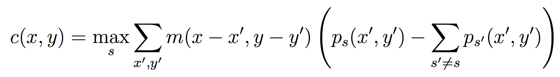
This conflict incidence in the paper will try to explain the following formula.

Good Fences: The Importance of Setting Boundaries for Peaceful Coexistenceより
For simplicity, let x and y represent two points that are different from each other. The first half of the right-hand side is a function that becomes larger when the distance between x and y is closer and smaller when it is further away, and the second half of the right-hand side expresses the degree of distortion of the ratio of ethnic and religious types of population at the two different points, with the larger the distortion, the larger the value.
In this way, we can represent a structure in which the incidence of conflict rises when the population ratio of different types of people in close proximity becomes highly distorted.
We then investigate how the geographical distribution of this conflict incidence changes with grid size. This is done by calculating the geographic distribution of conflict incidence across Switzerland without taking into account the effect of geographic boundaries, and then calculating the conflict incidence rate when the effect of boundaries is assumed to be zero (i.e. when crossing boundaries, the contribution to the conflict incidence rate is zero), in order to test the effectiveness of “boundaries”.
The actual result is that when the scale is very small or very large, it is almost zero, but when the parameter is several tens of kilometers large, it becomes relavant (I have an image that there is no proper translation of this English word). ), and the incidence of conflict increases. The conflict rate became most pronounced when the scale became 24km.

Good Fences: The Importance of Setting Boundaries for Peaceful Coexistenceより
To illustrate the above diagram, the top row, A, shows the distribution of Catholics and Protestants within Switzerland. In the middle row, C and D, the predominantly Protestant and predominantly Catholic areas are shown separately. B in the upper right-hand column shows the cantons of Switzerland.
And the bottom row is the result of the analysis in this paper. E in the lower left is the heat map of the conflict incidence when there is no administrative boundary, and F in the lower right is the heat map of the conflict incidence when the association exists. The characteristic size used in the calculation is 24 km, i.e. the critical size, and it is obvious that the conflict incidence rate in F is significantly lower than that in E (blue).
In summary, this paper examined the following.
- まず境界効果はなしで、紛争発生率のスケール依存性を求める
- 次に上で求めた紛争発生率から、臨界サイズ=臨界点を求める
- 臨界点における紛争発生率から適切な政治的境界(行政区分)を定義する
- 上で定義した境界を考慮した場合の紛争発生率を求め、それが低下していることを確認
Can we use this idea for peace in Syria?
More recently, they have been using this approach in their analysis of the situation in Syria.
Again, they used a critical size of 20 km in diameter, which is the highest incidence of conflict, and plotted the areas with the highest incidence of conflict based on the distribution of ethnic composition (left chart below) and the distribution of government forces, rebel forces, Kurdish forces, and ISIS forces (right chart below). The results are shown below.

The paper was published in February 2016, and a little more than a year has passed since then, and with the offensive of the Turkish and Russian forces, the rebel forces have almost been destroyed, and ISIS, which originally expanded its power by taking advantage of the internal conflict in Syria, has been in a noticeable decline recently, so the situation in Syria is gradually progressing towards a solution. However, as a practical matter, political and artificial borders should be established where such a circle can be formed, but in reality, this has not been possible.
Thus, they argue from these studies that a solution from a bottom-up approach based on this critical size, rather than a comprehensive solution, is what will lead to a concrete solution towards peace (perhaps to be done after the situation has calmed down).
Lastly: It’s important to actually act, not just argue at a desk
以上、アメリカのニューイングランド大学の「The New England Complex Systems Institute (NECSI)」という研究グループに関する話題を簡単に紹介いたしました。各民族感の自治を最大限に発揮できるよう、こうした研究成果が着目され、そして活用されることを願いたいものです。
One last episode.
A study on Yemen, also written by this group, is also very interesting, although the notion of a so-called physical “renormalization group” does not appear.
According to this study, the conflict in Yemen since 2008 is not caused by armed forces, such as terrorist activities of Al-Qaeda, but rather by food shortages and the resulting sharp rise in food prices. The report concludes that
この話を聞いてふと思い出したのが、[highlight]「すしざんまい社長のソマリアにおける活動」[/highlight]のニュースです。すしざんまいの社長は、実際にソマリアへ行き、現地の人と交流をした結果、ソマリアの海賊を武力で退治するのではなく、彼らが経済的に自立するようにさせるほうが効果的ではと考え、彼らに漁を教えた、というエピソードです。
参考ニュース:すしざんまい社長が、あの「海賊壊滅作戦」の真相を語った!
It is exactly the same as what the research suggests. But the crucial difference is that the president of Sushi Zammai proved this by actually taking action. Of course, it is important to formulate a top-down strategy to promote peace. But acting in the dark and intuitively can also be rash. However, it is meaningless unless it is accompanied by action.
But to be honest, although it is not as big as this, I feel a little distressed because I know a lot of things in my own life. I have to learn from him, don’t I? (I’m also very concerned about what a certain former Osaka governor/mayor said…)
いずれにしても、科学的に平和を考える研究およびその応用は、まだまだ発展途上、学問自体の発展はもちろんのこと、それを実際に活用する行動力にも大いに期待したいです。


